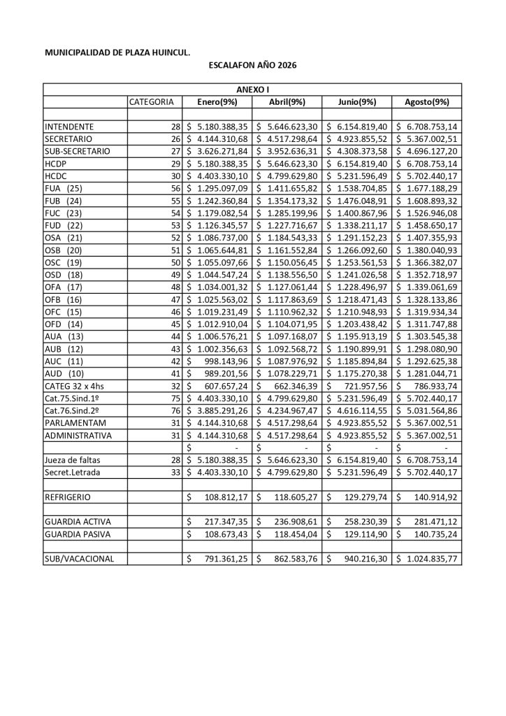
La Municipalidad de Plaza Huincul oficializó el Escalafón Salarial correspondiente al año 2026, que establece los haberes del personal municipal y de las autoridades, con actualizaciones escalonadas del 9% en los meses de enero, abril, junio y agosto.
El escalafón también detalla los sueldos correspondientes al intendente, concejales, personal administrativo, parlamentario y trabajadores encuadrados en las distintas categorías operativas, que van desde FUA hasta AUD, con valores que no superan el millón de pesos mensuales en las categorías más bajas mientras que intermedias y altas van desde 1 millón 200 mil pesos hasta 1 millón 600 mil pesos tras aplicarse los incrementos previstos escalafon 2026.
Además, el esquema incluye montos actualizados para refrigerio, guardias activas y pasivas, y subrogancias o adicionales vacacionales, que también se ajustan de manera progresiva a lo largo del año escalafon 2026.
Desde el Ejecutivo municipal indicaron que el escalafón busca otorgar previsibilidad salarial a los trabajadores y acompañar el impacto de la inflación, en el marco de las negociaciones paritarias vigentes.
El Escalafón 2026 rige para todo el personal municipal y forma parte del Anexo I del esquema salarial aprobado para el próximo año.







